Apa Itu Powerlifting?
Apa itu powerlifting? Powerlifting adalah sukan mencari angkatan maksima untuk 3 pergerakan asas senaman iaitu squat, bench press dan deadlift. Atlet akan buat 3 kali percubaan untuk ketiga-tiga angkatan tersebut.
Dalam pertandingan, ia boleh jadi dengan peralatan (equipped) atau tanpa peralatan (un-equipped), biasa disebut ‘raw‘. Ada banyak pertubuhan sukan powerlifting. Setiap satu ada peraturan tertentu. International Powerlifting Federation IPF dibentuk pada tahun 1973. World Powerlifting Alliance WPA ditubuhkan pada tahun 1987. Kini semakin bertambah badan yang mempromosikan sukan powerlifting.

Kategori Asas
Lelaki: 52 kg, 56 kg, 60 kg, 67.5 kg, 75 kg, 82.5 kg, 90 kg, 100 kg, 110 kg, 125 kg, 140 kg, 140 kg+
Perempuan: 44 kg, 48 kg, 52 kg, 56 kg, 60 kg, 67.5 kg, 75 kg, 82.5 kg, 90 kg, 90 kg+
Sub Junior: Bawah 18
Junior: 19-23
Terbuka: Semua umur
Master: Atas 40
Kategori bergantung pada badan penganjur. IPF ada menambah kategori master yang lain, 40-49, 50-59, 60-69 dan 70 ke atas. Ada juga yang pecahkan setiap 5 tahun.
Badan Antarabangsa
World RAW Powerlifting Federation (WRPF)
100% Raw Powerlifting Federation
Global Powerlifting Committee (GPC)
Global Powerlifting Federation (GPF)
International Powerlifting Federation (IPF)
International Powerlifting League (IPL)
Xtreme Powerlifting Coalition (XPC)
Natural Athlete Strength Association (NASA)
World Drug-Free Powerlifting Federation (WDFPF)
World Natural Powerlifting Federation (WNPF)
World Powerlifting Alliance (WPA)
World Powerlifting Congress (WPC)
World Powerlifting Federation (WPF)
World United Amateur Powerlifting (WUAP)
United States Powerlifting Association (USPA)
Bagaimana pengiraan markah?
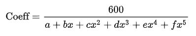
Atlet dibahagikan mengikut kategori berat atau usia atau jantina. Kemudian akan di campur ketiga-tiga angkatan terberat, dipanggil sebagai ‘Jumlah’. Kemudian, bergantung pada badan penganjur, mereka akan kira markah. 2 formula popular adalah apa yang dipanggil Wilks Score dan IPF GL Points. Formulanya mungkin berbeza. Di bawah adalah contoh formula;

Ada hadiah ke?
Bergantung pada penganjur. Kebanyakannya lebih kepada mencipta rekod. Paling tidak pun medal. Ada pertandingan besar yang ada hadiah wang tunai tapi bukan mudah nak masuk. Kalau anda sasarkan nak buat duit dengan powerlifting, anda kena betul-betul kuat.
Bagi saya, powerlifting adalah sukan yang sesuai untuk kebanyakan orang. Anda kejar rekod peribadi. Jadi lebih baik daripada sebelum ini. 3 pergerakan yang anda buat di gim jika anda bersenam secara teratur. Dengan meletakkan sasaran sebegini, anda mampu capai hasil lebih baik dalam mengejar sasaran anda.




